חשבון אינפיניטיסימלי 2 - פתרון מועד א תשע"ג

מתוך Math-Wiki

שאלה 1

שאלה 1 הייתה שאלת הוכחה מההרצאה. הוכחה 4 פה: הוכחות משפטים למבחן

שאלה 2

סעיף א

[math]\displaystyle{ \int\frac{1}{e^x+e^{-x}}\mathrm{d}x }[/math]

נציב [math]\displaystyle{ t=e^x }[/math] ואז [math]\displaystyle{ \mathrm{d}t=e^x\mathrm{d}x=t\mathrm{d}x }[/math]

לאחר הצבה נקבל

[math]\displaystyle{ \int\frac{1}{e^x+e^{-x}}\mathrm{d}x=\int\frac{1}{t+\frac{1}{t}}\frac{1}{t}\mathrm{d}t }[/math]

[math]\displaystyle{ =\int\frac{1}{t^2+1}=\arctan t+c=\arctan e^x+c }[/math]

סעיף ב

[math]\displaystyle{ \int\frac{x^3+1}{x^3-1}\mathrm{d}x }[/math]

על ידי חילוק פולינומים קל לראות ש

[math]\displaystyle{ \frac{x^3+1}{x^3-1}=1+\frac{2}{x^3-1} }[/math]

אז נתמקד בחישוב [math]\displaystyle{ \int\frac{2}{x^3-1}\mathrm{d}x=\int\frac{2}{(x-1)(x^2+x+1)}\mathrm{d}x }[/math]

לפי האלגוריתם לחישוב אינטגרל של פונקציה רציונאלית נחפש

[math]\displaystyle{ \frac{2}{(x-1)(x^2+x+1)}=\frac{A}{x-1}+\frac{Bx+C}{x^2+x+1} }[/math]

[math]\displaystyle{ =\frac{Ax^2+Ax+A+Bx^2-Bx+Cx-C}{(x-1)(x^2+x+1)} }[/math]

כלומר קיבלנו מערכת משוואות

[math]\displaystyle{ A+B=0, \quad A-B+C=0,\quad A-C=2 }[/math]

וקל לראות שהפתרון שלה הוא:

[math]\displaystyle{ A=\frac{2}{3},\quad B=-\frac{2}{3},\quad C= -\frac{4}{3} }[/math]


ברור ש

[math]\displaystyle{ \int\frac{\frac{2}{3}}{x-1}\mathrm{d}x=\frac{2}{3}\ln|x-1|+c }[/math]

נותר לחשב את [math]\displaystyle{ -\frac{2}{3}\int\frac{x+2}{x^2+x+1}\mathrm{d}x }[/math]

לפי השלמה לריבוע

[math]\displaystyle{ \int\frac{x+2}{x^2+x+1}\mathrm{d}x=\int\frac{x+2}{(x+\frac{1}{2})^2+\frac{3}{4}}\mathrm{d}x }[/math]

נבצע הצבה [math]\displaystyle{ t=x+\frac{1}{2} }[/math] (רק בשביל נוחות) ואז נישאר עם

[math]\displaystyle{ \int\frac{t+\frac{3}{2}}{t^2+\frac{3}{4}}\mathrm{d}t=\frac{1}{2}\int\frac{2t+3}{t^2+\frac{3}{4}}\mathrm{d}t }[/math]

[math]\displaystyle{ =\frac{1}{2}\int\frac{2t}{t^2+\frac{3}{4}}\mathrm{d}t+\int\frac{\frac{3}{2}}{t^2+\frac{3}{4}}\mathrm{d}t }[/math]

[math]\displaystyle{ =\frac{1}{2}\ln|t^2+\frac{3}{4}|+\frac{3}{2}\frac{1}{\sqrt{\frac{3}{4}}}\arctan\frac{t}{\sqrt{\frac{3}{4}}}+c }[/math]

[math]\displaystyle{ =\frac{1}{2}\ln|(x+\frac{1}{2})^2+\frac{3}{4}|+\sqrt{3}\arctan\frac{x+\frac{1}{2}}{\sqrt{\frac{3}{4}}}+c }[/math]


ולכן [math]\displaystyle{ -\frac{2}{3}\int\frac{x+2}{x^2+x+1}\mathrm{d}x=-\frac{2}{3}(\frac{1}{2}\ln|(x+\frac{1}{2})^2+\frac{3}{4}|+\sqrt{3}\arctan\frac{x+\frac{1}{2}}{\sqrt{\frac{3}{4}}})+c }[/math]

אם נסכום את כל מה שקיבלנו נקבל שהתוצאה היא

[math]\displaystyle{ x+\frac{2}{3}\ln|x-1|-\frac{2}{3}(\frac{1}{2}\ln|(x+\frac{1}{2})^2+\frac{3}{4}|+\sqrt{3}\arctan\frac{x+\frac{1}{2}}{\sqrt{\frac{3}{4}}})+c }[/math]

ואם מסדרים את זה יוצא

[math]\displaystyle{ x+\frac{2}{3}\ln|x-1|-\frac{1}{3}\ln|x^2+x+1|-\frac{2}{\sqrt{3}}\arctan\frac{2x+1}{\sqrt{3}}+c }[/math]

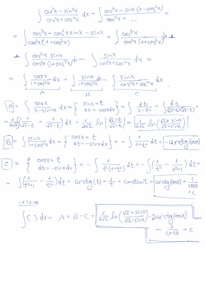
סעיף ג'

פתרון

שאלה 3

סעיף א

צריך לבדוק אם [math]\displaystyle{ \int_1^\infty \sin\sqrt{x}dx }[/math] מתכנס או מתבדר.

הצעה לפתרון: ננסה לחשב את [math]\displaystyle{ \lim_{b\to\infty} \int_1^b \sin \sqrt{x} dx }[/math]. נסתכל על [math]\displaystyle{ \int \sin\sqrt x dx }[/math]. ע"י החלפת משתנים נקבל [math]\displaystyle{ \sqrt{x}=t \Rightarrow \frac1{2\sqrt x} dx = dt \Rightarrow dx=2tdt }[/math]

קיבלנו [math]\displaystyle{ \int 2t\sin t dt }[/math]. ניתן לראות ע"י אינטגרציה בחלקים ([math]\displaystyle{ u=2t, v'=\sin t }[/math]) כי האינטגרל הוא [math]\displaystyle{ 2\sin(t)- 2t\cos t + C }[/math] ולכן מתקיים:

[math]\displaystyle{ \lim_{b\to\infty} \int_1^\infty \sin\sqrt x dx = \lim_{b\to\infty} (2\sin\sqrt b - 2\sqrt{b}\cos\sqrt{b})-(2\sin1-2\cos1) }[/math] וזה כמובן לא מתכנס ולכן האינטגרל מתבדר

סעיף ב

צריך לבדוק אם [math]\displaystyle{ \int_1^\infty \sin{x^{1.5}}dx }[/math] מתכנס או מתבדר.

הצעה לפתרון: ניעזר בהצבה [math]\displaystyle{ u=x^{1.5} }[/math], לכן [math]\displaystyle{ du=1.5\cdot x^{0.5} dx=1.5\sqrt[3]{u}dx }[/math], כלומר [math]\displaystyle{ dx=\frac{2\cdot du}{3\cdot\sqrt[3]{u}} }[/math]. במקרה זה [math]\displaystyle{ u }[/math] בתחום [math]\displaystyle{ [1,\infty] }[/math] גם כן. לכן:

[math]\displaystyle{ \int_1^\infty \sin{x^{1.5}}dx=\frac{2}{3}\int_1^\infty \frac{\sin{u}}{\sqrt[3]{u}}du }[/math], והאינטגרל שהתקבל מתכנס על פי דיריכלה.

שאלה 4

הפרכה: ניקח את [math]\displaystyle{ f_n(x)=\left\{\begin{matrix} \frac1n,\ \ x=0\\ 0 \ \ \ \ \ \ \mathrm{else} \end{matrix}\right. }[/math] וההתכנסות היא במ"ש (קל להוכיח).

עוד פונקציה שמפריכה היא [math]\displaystyle{ f_n(x)=\frac{D(x)}{n} }[/math] כאשר [math]\displaystyle{ D(x) }[/math] היא פונקציית דיריכלה. זאת אומרת, [math]\displaystyle{ D(x)=\left\{\begin{matrix} 1,\ \ x\in \mathbb{Q}\\ 0 \ \ \ \ \ \ \mathrm{else} \end{matrix}\right. }[/math]

שאלה 5

סעיף א'

קודם כל, נראה כי [math]\displaystyle{ \sum_{n=1}^\infty \frac{(-1)^n(x^n-x^{n+1})}{2^n+n^3}=\sum_{n=1}^\infty \frac{(-1)^nx^n(1-x)}{2^n+n^3}=(1-x)\sum_{n=1}^\infty \frac{(-1)^nx^n}{2^n+n^3} }[/math] וקיבלנו טור חזקות כיוון ש- [math]\displaystyle{ (1-x) }[/math] קבוע וכפל בקבוע לא משנה התכנסות או התבדרות של טור.

כעת נסתכל על החלק של טור החזקות בלבד. ניתן לחשב את רדיוס ההתכנסות שלו לפי דלאמבר: [math]\displaystyle{ R=\lim_{n\to\infty} |\frac{a_n}{a_{n+1}}|=\lim_{n\to\infty} |\frac{\frac{(-1)^n}{2^n+n^3}}{\frac{-1\cdot(-1)^n}{2\cdot2^n+(n+1)^3}}|=\lim_{n\to\infty}\frac{2\cdot 2^n +(n+1)^3}{2^n+n^3}=2 }[/math]

כעת, נשאר לנו רק לבדוק התכנסות ב- [math]\displaystyle{ x=2,-2 }[/math]. ניתן לראות בקלות שהאיבר הכללי של הסדרה לא ישאף ל-0 ב-2 המקרים האלה ולכן תנאי הכרחי להתכנסות של טור לא מתקיים. ניתן להסיק שהטור מתכנס אם ורק אם [math]\displaystyle{ x\in(-2,2) }[/math]

סעיף ב'

דבר ראשון, נפרק את הפונקציה באופן הבא: [math]\displaystyle{ f(x)=\frac{1+x}{(1-x^2)^2}=\frac{1}{(1-x^2)^2}+x\cdot\frac{1}{(1-x^2)^2} }[/math]. כעת נזכור כי [math]\displaystyle{ \frac{1}{(1-x)^2}=(\frac{1}{1-x})'=(\sum_{n=0}^\infty x^n)'=\sum_{n=0}^\infty nx^{n-1} }[/math] והפעולה של החלפת הנגזרת והסכום חוקית כיוון שהטור ההנדסי מתכנס במ"ש.

ולכן, [math]\displaystyle{ \frac{1}{(1-x^2)^2}=\sum_{n=1}^\infty n(x^2)^{n-1}=\sum_{n=1}^\infty n\cdot x^{2n-2} }[/math] ו- [math]\displaystyle{ x\cdot\frac{1}{(1-x^2)^2}=x\cdot\sum_{n=1}^\infty n(x^2)^{n-1}=\sum_{n=1}^\infty n\cdot x^{2n-1} }[/math]

לכן ניתן להגיע לכך ש- [math]\displaystyle{ f(x)=\sum_{n=1}^\infty (nx^{2n-1}+nx^{2n-2}) }[/math]. כעת כל מה שנישאר זה קצת לשחק עם המקדמים והמשתנים ככה שיצא טור מקלורן. (יש לשים לב שהמקדמים של הטור יהיו 1,1,2,2,3,3... ולכן נשתמש ב- ceil או floor לתאר את המקדמים)


  • הצעה אחרת לפתרון ל-5ב כאן


  • אפשר לפתור את התרגיל הזה גם בגישה ישירה:

[math]\displaystyle{ \frac{1+x}{(1-x^2)^2}=\frac{1}{1-x}\frac{1}{1-x^2} }[/math]

ידוע ש:

[math]\displaystyle{ \frac{1}{1-x}=1+x+x^2+\ldots }[/math]

[math]\displaystyle{ \frac{1}{1-x^2}=1+x^2+x^4+\ldots }[/math]

ולכן

[math]\displaystyle{ \frac{1}{1-x}\frac{1}{1-x^2}=(1+x+x^2+\ldots)(1+x^2+x^4+\ldots) }[/math]

[math]\displaystyle{ =1(1+x+x^2+\ldots)+x^2(1+x+x^2+\ldots)+x^4(1+x+x^2+\ldots)+\ldots=(1+x+x^2+\ldots)+(x^2+x^3+x^4+\ldots)+(x^4+x^5+x^6+\ldots)+\ldots }[/math]

ומכאן קל לראות שהמקדמים צריכים להיות [math]\displaystyle{ 1,1,2,2,3,3 }[/math] וכו'

שאלה 6

נזכור כי הנוסחה לחישוב אורך עקומה של [math]\displaystyle{ f(x) }[/math] בקטע [math]\displaystyle{ [a,b] }[/math] היא [math]\displaystyle{ \int_a^b \sqrt{1+(f'(x))^2} dx }[/math] ולכן אנחנו מחפשים את [math]\displaystyle{ \int_0^{\frac{\pi}6}\sqrt{1+((\ln\cos(x))')^2}dx }[/math].

מתקיים: [math]\displaystyle{ \frac{d}{dx}\ln\cos(x) = \frac{-\sin(x)}{cos(x)}=-\tan(x) }[/math].

כמו כן, [math]\displaystyle{ 1+(-\tan(x))^2=1+\frac{\sin^2(x)}{\cos^2(x)}=\frac1{\cos^2(x)} }[/math].

נראה כי [math]\displaystyle{ \forall x \in [0,\frac{\pi}6] :\cos(x)\gt 0 }[/math] ולכן [math]\displaystyle{ \sqrt{\frac{1}{\cos^2(x)}}=\frac1{\cos(x)} }[/math] ולא צריך לדאוג לגבי הסימן של המכנה (שורש תמיד חיובי ויש מקרים בהם דווקא [math]\displaystyle{ -\cos(x) }[/math] חיובי בעוד ש- [math]\displaystyle{ \cos(x) }[/math] שלילי)

נרצה לחשב כעת את [math]\displaystyle{ \int_0^{\frac{\pi}6} \frac{1}{\cos(x)} dx }[/math]

נעזר בהצבה אוניברסאלית [math]\displaystyle{ t=tan(\frac { x }{ 2 } ) }[/math], ולכן האינטגרל הוא

[math]\displaystyle{ \int _{ 0 }^{ \frac { \pi }{ 6 } }{ \frac { 1 }{ cosx } dx } =\int _{ 0 }^{ tan(\frac { \pi }{ 12 } ) }{ \frac { 1 }{ \frac { 1-t^{ 2 } }{ t^{ 2 }+1 } } \cdot \frac { 2dt }{ t^{ 2 }+1 } } =\int _{ 0 }^{ tan(\frac { \pi }{ 12 } ) }{ \frac { 2 }{ 1-t^{ 2 } } dt } =\int _{ 0 }^{ tan(\frac { \pi }{ 12 } ) }{ \frac { 2 }{ 1-t^{ 2 } } dt } =\int _{ 0 }^{ tan(\frac { \pi }{ 12 } ) }{ [\frac { 1 }{ t+1 } -\frac { 1 }{ t-1 } ]dt } = }[/math] [math]\displaystyle{ =[ln|t+1|-ln|t-1|\quad ]_{ 0 }^{ tan(\frac { \pi }{ 12 } ) }=ln|\frac { t+1 }{ t-1 } |\quad ]_{ 0 }^{ tan(\frac { \pi }{ 12 } ) }=0.5493... }[/math]