תוכן עניינים העברה לסרגל הצד הסתרה
תרגיל 1
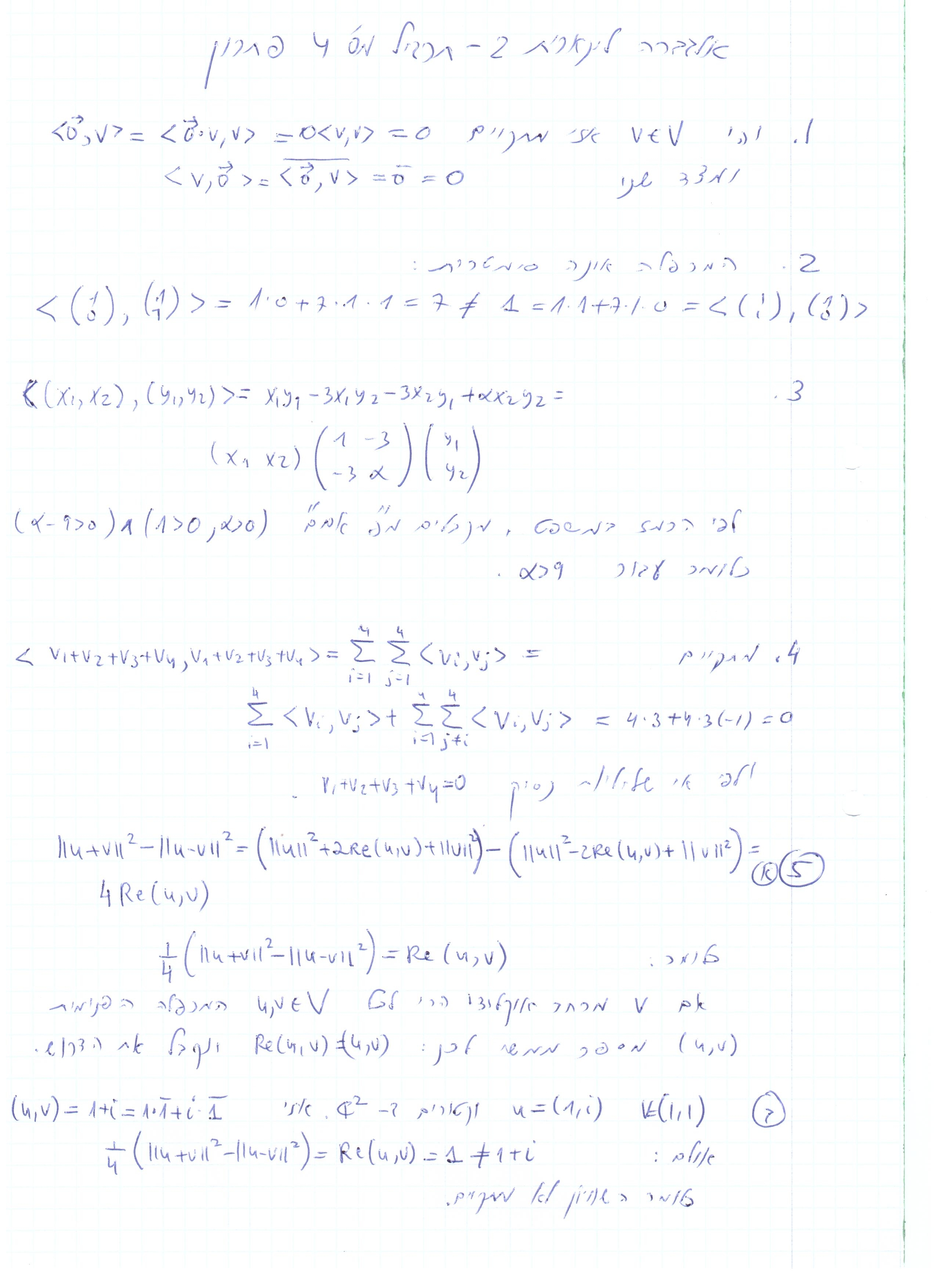
תרגיל 2
פתרון 2א פתרון 2ב פתרון 2ג פתרון 2ד
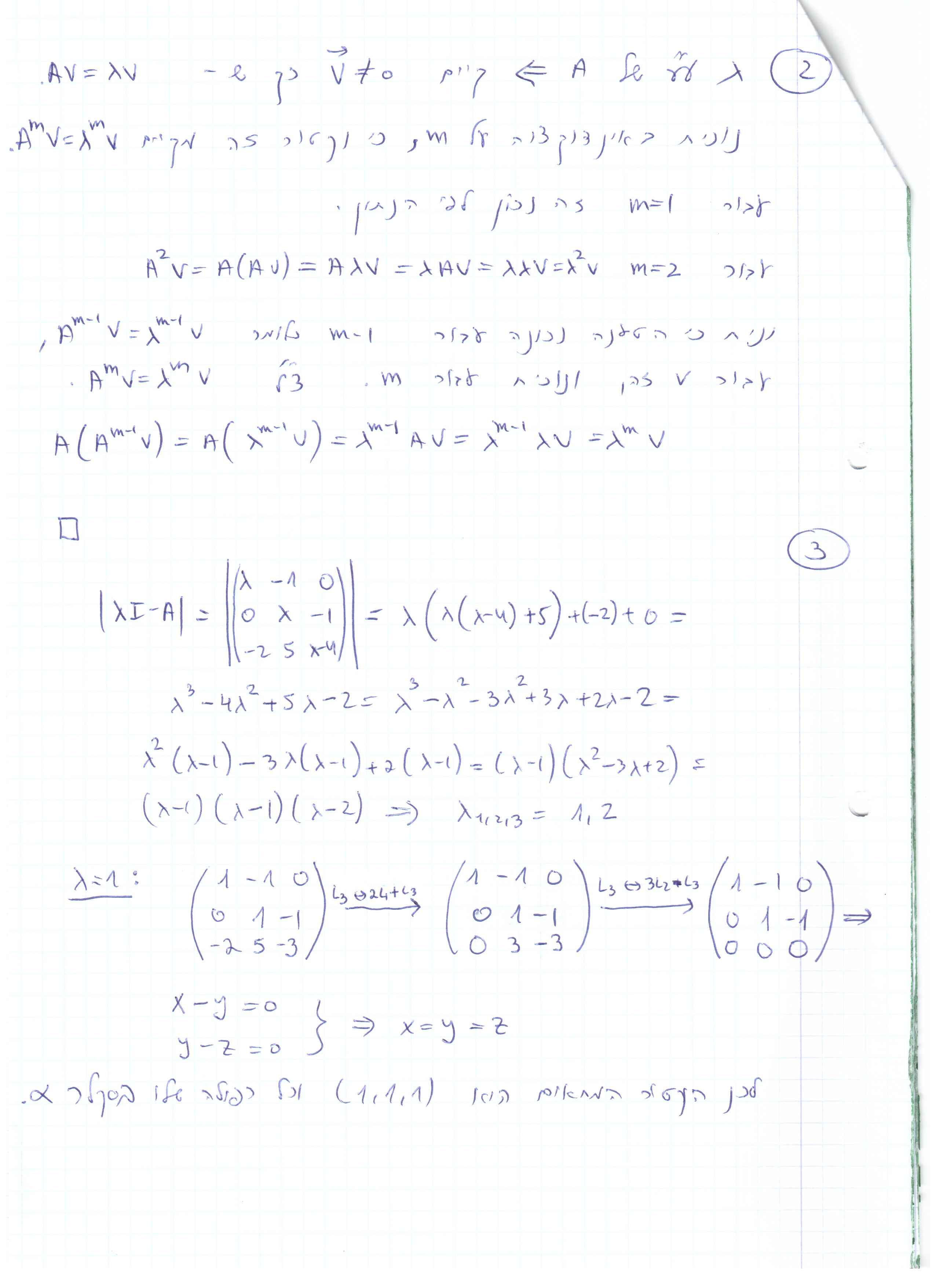
תרגיל 3
פתרון 3א פתרון 3ב
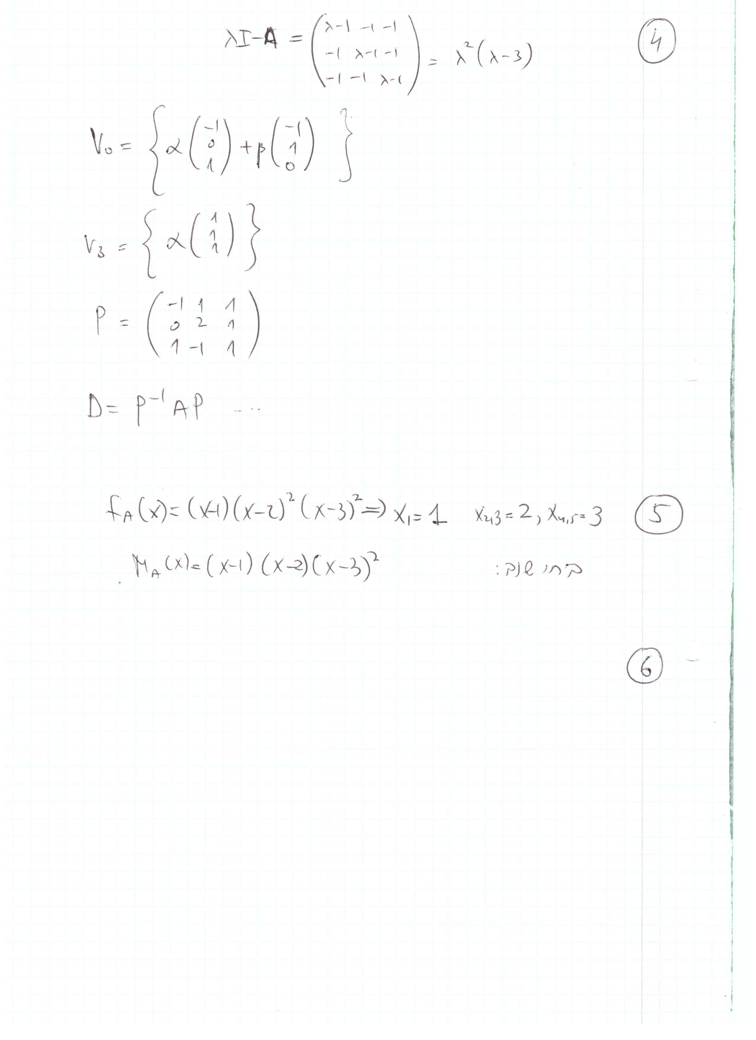
תרגיל 4
פתרון 4א פתרון 4ב
תרגיל 5
פתרון 5
תרגיל 6
פתרון 6
תרגיל 7
פתרון 7
תרגיל 8
פתרון 8
תרגיל 9
פתרון 9
תרגיל 10
פתרון 10
תרגיל 11
פתרון 11
תרגיל 12
פתרון 12