88-236 תשעא סמסטר ב

מתוך Math-Wiki

88-236 חשבון אינפיניטיסימלי 4

ציוני תרגילים


קישורים

[math]\displaystyle{ \ \Longleftarrow }[/math]שאלות ותשובות[math]\displaystyle{ \ \Longrightarrow }[/math]

תרגילים

ראו למעלה קישור לציוני התרגילים ובידקו אותם !

חומר עזר - כאן יועלו הסברים ותרגילים נוספים פתורים

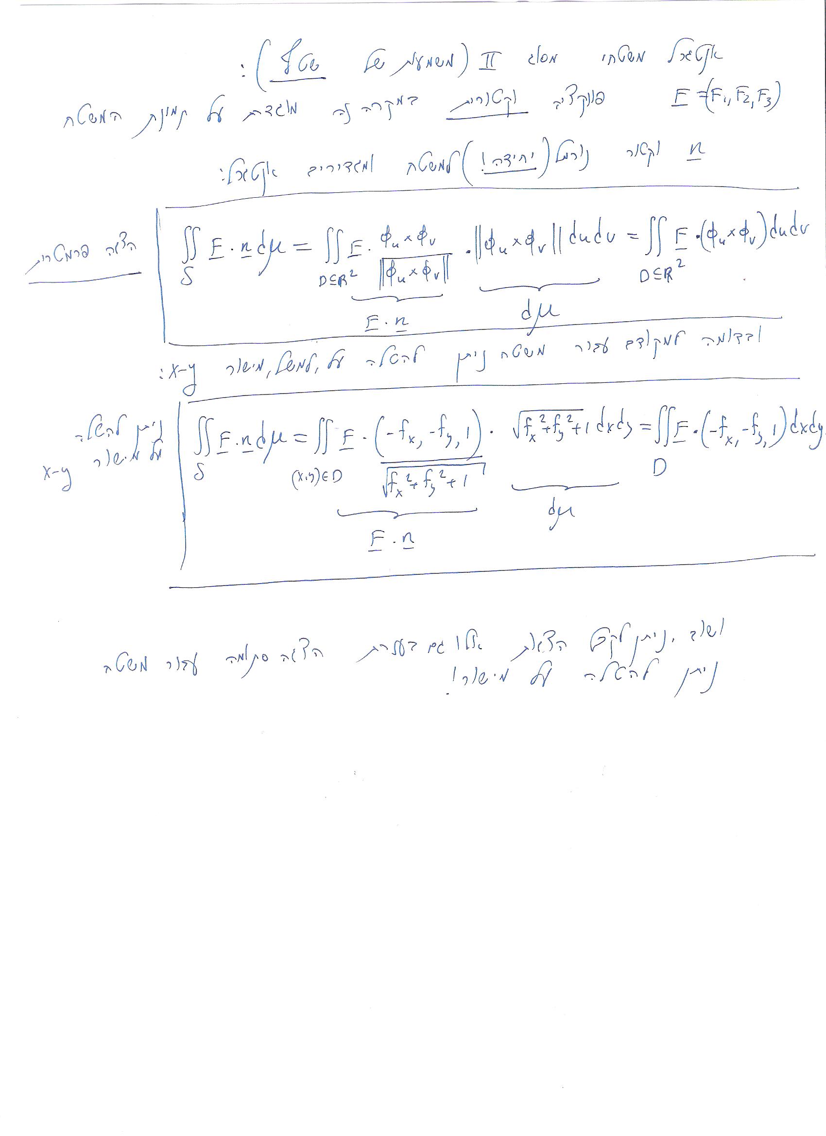
משטחים ואינטגרלים משטחיים - עמוד 2

עיקבו אחר האתר - תרגילים פתורים נוספים יפורסמו בימים הקרובים , כתירגול נוסף לבוחן ובכלל ! .תומר

תומר - קישורים לקורסים מקבילים (אפשר גם להיזכר בחומר מאינפי 3 באמצעותם :

  • טכניון :

http://www.math.technion.ac.il/~meshulam/courses/infi3_09/infi_3_1101.pdf

  • תל אביב :

http://www.math.tau.ac.il/~klartagb/calculus3/sodin.pdf

  • תל אביב : הקורס בסמסטר הנוכחי - רשימות שמתעדכנות וקישור לאתר התירגולים שלהם :

http://www.math.tau.ac.il/~tsirel/Courses/Analysis3/main.html

  • האוניברסיטה הפתוחה : שימו לב למספר מבחנים עם פתרונות ! :

http://ocw.openu.ac.il/c20224/

  • ב-MIT יש קורס מקביל עם הרצאות מצולמות ושלל דוגמאות פתורות (כדאי ! ) :

http://ocw.mit.edu/courses/mathematics/18-02-multivariable-calculus-fall-2007/video-lectures/

  • אתר נוסף - עם דוגמאות פתורות והגדרות - כולל אלמנטים גרפיים : (נראה עשיר מאוד , אך לא התעמקתי בו- כדאי לבקר ):

http://tutorial.math.lamar.edu/Classes/CalcIII/CalcIII.aspx

  • עוד אתר שמצאתי - הסתכלו על פירוט הנושאים מצד שמאל :

http://www.math24.net/index.html המון תרגילים פתורים כולל אלמנטים גרפיים !

תרגילים ברמת מבחן לתירגול נוסף :

  • אתר הטכניון לקורס המקביל - היכנסו לקישור הבא בלשונית "מבחנים" :

http://www.math.technion.ac.il/courses/104282/

  • באתר האוניברסיטה הפתוחה יש גם חוברת של תרגילים פתורים - שזהו הקישור אליה :

http://ocw.openu.ac.il/opus/bin/en.jsp?enZone=Editor108912&enDispWho=Editor^l239117

================================================================

סיכום תירגול שחלק מכם הפסידו - אינטגרל משטחי ומשפט גאוס - דוגמאות ראשונות:

עמוד 1

עמוד 2

עמוד 3

הודעות

שלום לכולם, בואו נערוך רשימה מסודרת של אלו שירד להם 7 נקודות בתרגיל 2 על ההשתנות החסומה, אלו מכם שירד לכם רשמו את שמכם ככה שתומר יוכל פשוט לראות את הרשימה הרלוונטית. סלבה.

תומר : אני חוזר ומדגיש כי מי שרושם את שמו/ת"ז מצהיר בזה שהורדת הנקודות הייתה רק בגין השאלה ההיא . (תקראו לי קטנוני אבל זה מה שיש ...).

1) סלבה 2) אלכס נצייב 3) 015869043 4)201234770 5) 205586514 6) 203518196 7)דנה קולר :) 8) 301835575 9) ליאור שניידר 200789683 10) 301441721 11) עדי לוגסי 201626074 12) אברהם אפד 032531006 13) נילי זנודה 14) סטרוסטין אלכסנדרה 324412550 15) דורון פסוב 300650918 16) מוחמד נגאר 201450517 17) אביב יחזקאל 311147201 18) תומר ירון 312488836


ציוני התרגיל הם רק מגן לציון המבחן נכון?

מה פתאום זה 20 אחוז מהציון הסופי!

אבל יש מייל מפורש מהמרצה שציון התרגיל הינו רק מגן

מתי ציוני התרגיל יועלו כך שנוכל לקבל ציון סופי?