לדלג לתוכן
שינוי מצב סרגל צד
Math-Wiki
חיפוש
יצירת חשבון
כלים אישיים
יצירת חשבון
כניסה לחשבון
ניווט
עמוד ראשי
שינויים אחרונים
העלאת קובץ
כלים
דפים המקושרים לכאן
שינויים בדפים המקושרים
דפים מיוחדים
גרסה להדפסה
קישור קבוע
מידע על הדף
88-113 לינארית 2 סמסטר א תשעב/תרגילים
דף
שיחה
עברית
קריאה
הצגת מקור
גרסאות קודמות
עוד
קריאה
הצגת מקור
גרסאות קודמות
מתוך Math-Wiki
גרסה מ־13:57, 16 בנובמבר 2011 מאת
Yafit
(
שיחה
|
תרומות
)
(
הבדל
)
→ הגרסה הקודמת
|
הגרסה האחרונה
(
הבדל
) |
הגרסה הבאה ←
(
הבדל
)
תרגיל 1
תרגיל 1
פתרון 1א
פתרון 1ב
פתרון 1ג
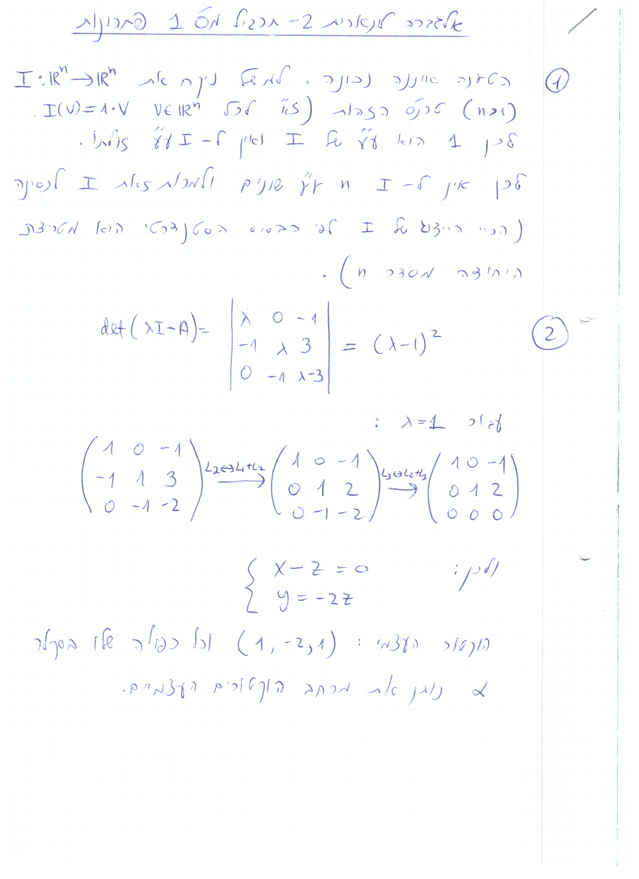
תרגיל 2
תרגיל 2
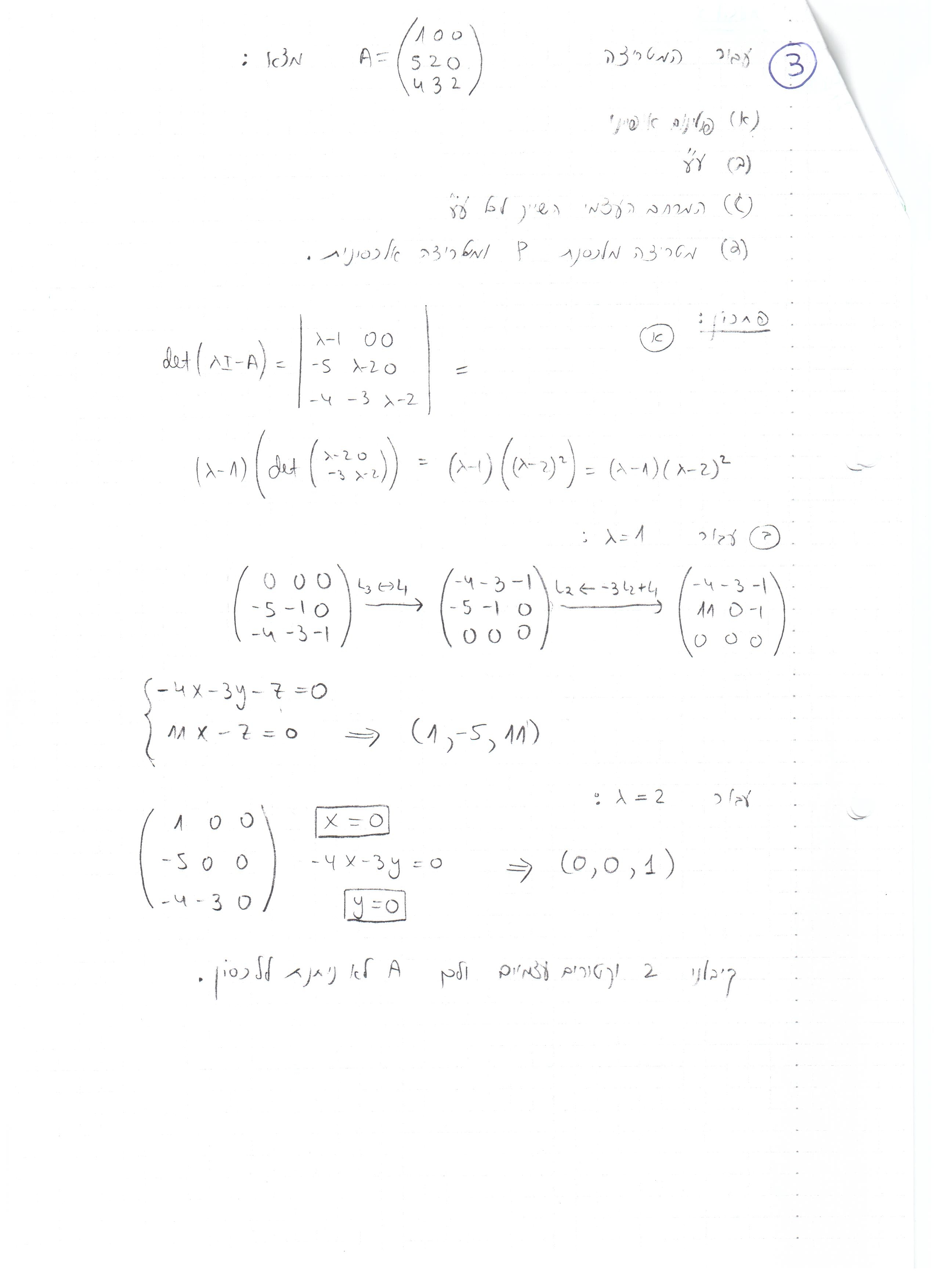
תרגיל 3
תרגיל 3